Aturan Tangen Rumus trigonometri ~ ufik's blog

Rumus sin cos tan (trigonometri) dan contoh soalnya

If you are searching about Bimbingan Belajar Unika Aljabar: TRIGONOMETRI (Kuadran) you've visit to the right web. We have 35 Pics about Bimbingan Belajar Unika Aljabar: TRIGONOMETRI (Kuadran) like Rumus Trigonometri Dasar (Cos, Sinus, Tangen) dan Contoh Soal, Materi dan Contoh Soal Aturan Cosinus pada Trigonometri Segitiga » Blog and also Rumus Sin Cos Tan (Trigonometri) dan Contoh Soalnya. Read more:

Bimbingan Belajar Unika Aljabar: TRIGONOMETRI (Kuadran)

Bimbingan Belajar Unika Aljabar: TRIGONOMETRI (Kuadran) unikacentralcollege.blogspot.com

kuadran sinus negatif positif trigonometri sudut menentukan cosinus sampai matematika metode bimbingan aljabar unika

Tips Dan Trik Mengerjakan Soal Limit Fungsi Trigonometri - Kompasiana.com

Tips dan Trik Mengerjakan Soal Limit Fungsi Trigonometri - Kompasiana.com www.kompasiana.com

fungsi mengerjakan soal trigonometri trik kompasiana akm epsilon aturan penerapan dazzle

Rumus Sin Cos Tan (Trigonometri) Dan Contoh Soalnya

Rumus Sin Cos Tan (Trigonometri) dan Contoh Soalnya majalahpendidikan.com

aturan cosinus tangen cos

Tabel Sinus Cosinus Tangen Tabel Sinus Cosinus Tangen

tabel sinus cosinus tangen tabel sinus cosinus tangen plus.google.com

tabel cosinus sinus tangen rumus matematika

Pembuktian Nilai Sinus Dan Cosinus Sudut Istimewa - YouTube

Pembuktian Nilai Sinus dan Cosinus Sudut Istimewa - YouTube www.youtube.com

cosinus sudut sinus pembuktian

PPT - ATURAN-ATURAN TRIGONOMETRI PADA SEGITIGA PowerPoint Presentation

PPT - ATURAN-ATURAN TRIGONOMETRI PADA SEGITIGA PowerPoint Presentation www.slideserve.com

aturan pada segitiga trigonometri

Back To School: LUAS SEGITIGA DAN SEGITIGA N BERATURAN DAN TRIGONOMETRI

back to school: LUAS SEGITIGA DAN SEGITIGA N BERATURAN DAN TRIGONOMETRI mystartsmallblogspot.blogspot.com

rumus trigonometri identitas aturan segitiga matematika gaya kelas v18

Rangkuman, Contoh Soal & Pembahasan Trigonometri

Rangkuman, Contoh Soal & Pembahasan Trigonometri tanya-tanya.com

rangkuman trigonometri aturan

Rumus Sin Cos Tan (Trigonometri) Dan Contoh Soalnya

Rumus Sin Cos Tan (Trigonometri) dan Contoh Soalnya majalahpendidikan.com

tan cos aturan sinus rumus

Trigonometri

Trigonometri www.slideshare.net

trigonometri cosinus sinus tangen aturan rumus

Cara Membuktikan Dan Menggunakan Aturan Sinus Atau Aturan Cosinus

Cara Membuktikan dan Menggunakan Aturan Sinus atau Aturan Cosinus www.defantri.com

aturan sinus cosinus membuktikan soal trigonometri perbandingan defantri berdiskusi

Rumus Trigonometri Dasar (Cos, Sinus, Tangen) Dan Contoh Soal

Rumus Trigonometri Dasar (Cos, Sinus, Tangen) dan Contoh Soal majalahpendidikan.com

tangen rumus aturan trigonometri dasar

TRIGONOMETRI | PEMBUKTIAN JUMLAH DAN SELISIH SINUS - COSINUS - YouTube

TRIGONOMETRI | PEMBUKTIAN JUMLAH DAN SELISIH SINUS - COSINUS - YouTube www.youtube.com

cosinus sinus jumlah selisih

Rangkuman Matematika Wajib (TRIGONOMETRI DAN LIMIT FUNGSI)

Rangkuman Matematika Wajib (TRIGONOMETRI DAN LIMIT FUNGSI) www.slideshare.net

trigonometri wajib rangkuman matematika sudut perkalian rumus

Rumus-Rumus Trigonometri (plus Trik)

Rumus-Rumus Trigonometri (plus trik) rumushitung.com

rumus trigonometri trik sisi tangen dibagi samping

Rumus Trigonometri ~ Ufik's Blog

Rumus trigonometri ~ ufik's blog ufikk.blogspot.com

trigonometri rumus sinus tangen cosinus hasib sudut menghafal habash siku penemu segitiga perbandingan sisi rasio penggagas kali adalah membantu berbagi

Rumus Trigonometri Dasar (Cos, Sinus, Tangen) Dan Contoh Soal

Rumus Trigonometri Dasar (Cos, Sinus, Tangen) dan Contoh Soal majalahpendidikan.com

rumus sudut trigonometri rangkap tiga

Mari Belajar Bersama Heriansyah: Trigonometri Dasar

Mari Belajar Bersama Heriansyah: Trigonometri Dasar heriansyah64.blogspot.com

rumus trigonometri matematika sudut aturan derajat heriansyah

Rumus Trigonometri Dasar (Cos, Sinus, Tangen) Dan Contoh Soal

Rumus Trigonometri Dasar (Cos, Sinus, Tangen) dan Contoh Soal majalahpendidikan.com

sinus trigonometri rumus

Materi Trigonometri "PEMBUKTIAN RUMUS ATURAN SINUS" - YouTube

Materi Trigonometri "PEMBUKTIAN RUMUS ATURAN SINUS" - YouTube www.youtube.com

Rangkuman, Contoh Soal & Pembahasan Trigonometri

Rangkuman, Contoh Soal & Pembahasan Trigonometri tanya-tanya.com

Soal Aturan Sinus Dan Cosinus Beserta Jawabannya - Kumpulan Contoh

Soal Aturan Sinus Dan Cosinus Beserta Jawabannya - Kumpulan Contoh contoh-surat.co

aturan sinus cosinus segitiga idschool jawaban pembahasannya trigonometri jawabannya pembahasan brainly penyelesaiannya harian ulangan kosinus pelajaran brice mengenai

Rumus Sin Cos Tan (Trigonometri) Dan Contoh Soalnya

Rumus Sin Cos Tan (Trigonometri) dan Contoh Soalnya majalahpendidikan.com

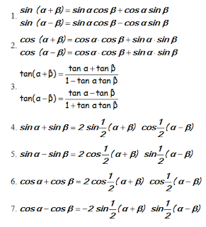
rumus penjumlahan sudut trigonometri kurtosis

Rangkuman Trigonometri

Rangkuman Trigonometri maths.id

trigonometri perbandingan rangkuman tangen sinus secan sudut cosinus tvri segitiga fungsi

Rangkuman Aturan Sinus Dan Cosinus - Belajar Bareng

Rangkuman Aturan Sinus Dan Cosinus - Belajar Bareng yubelajarbareng.blogspot.com

cosinus sinus segitiga tangen secan trigonometri aturan rangkuman pengertian siku

Materi Dan Contoh Soal Aturan Cosinus Pada Trigonometri Segitiga » Blog

Materi dan Contoh Soal Aturan Cosinus pada Trigonometri Segitiga » Blog blog.elevenia.co.id

cosinus aturan sinus rumus pada segitiga sehari kehidupan kosinus aturannya persamaan matematika trigonometri pembahasan jawabannya elevenia jawaban topik akan mendapatkan

Back To School: LUAS SEGITIGA DAN SEGITIGA N BERATURAN DAN TRIGONOMETRI

back to school: LUAS SEGITIGA DAN SEGITIGA N BERATURAN DAN TRIGONOMETRI mystartsmallblogspot.blogspot.com

trigonometri rumus aturan segitiga identitas dasar matematika penjumlahan materi v19

Math World By GOLD: Sejarah Aturan Sinus Dan Aturan Cosinus

Math World by GOLD: Sejarah Aturan Sinus dan Aturan Cosinus golddayona.blogspot.com

sinus penemu aturan

Soal Trigonometri Menghitung Besar Sudut Dengan Aturan Sinus

Soal Trigonometri Menghitung Besar sudut dengan Aturan Sinus www.youtube.com

aturan sudut trigonometri sinus soal

Cara Menghapal Trigonometri Segitiga Siku-siku

Cara Menghapal Trigonometri Segitiga Siku-siku www.kompas.com

siku segitiga trigonometri cosinus menghapal sinus cara tangen

Cara Mencari Sin Cos Tan Dengan Excel

Cara Mencari Sin Cos Tan dengan Excel rumushitung.com

trigonometri pohon mengukur tangen apliaksi rumushitung

PPT - ATURAN-ATURAN TRIGONOMETRI PADA SEGITIGA PowerPoint Presentation

PPT - ATURAN-ATURAN TRIGONOMETRI PADA SEGITIGA PowerPoint Presentation www.slideserve.com

aturan segitiga trigonometri

MATERI USBN MATEMATIKA WAJIB - PERBANDINGAN TRIGONOMETRI, ATURAN SINUS

MATERI USBN MATEMATIKA WAJIB - PERBANDINGAN TRIGONOMETRI, ATURAN SINUS www.youtube.com

aturan icpns soal

RUMUS TRIGONOMETRI | Jhonifunk

RUMUS TRIGONOMETRI | jhonifunk jhonifunk.wordpress.com

rumus trigonometri aturan sudut tangen matematika luas

Trigonometri: Rangkuman Trigonometri

Trigonometri: Rangkuman Trigonometri hadaina23.blogspot.com

trigonometri kuadran

Aturan pada segitiga trigonometri. Cosinus sinus jumlah selisih. Rangkuman aturan sinus dan cosinus